JavaScript er deaktiveret i din browser.

Objekttype: Skov

Domænemodel:

Natur

URI:

https://data.gov.dk/model/profile/gdk/Skov

Foretrukken term:

Skov

Definition:

træbevokset område

Juridisk kilde:

http://www.retsinformation.dk/eli/lta/2017/380

Kilde:

http://www.geodanmark.nu/Spec6/HTML5/DK/601/StartHer.htm

Historikmodel:

bitemporalitet

Subtype af:

GeoDanmarkObjekt

Skov er udstillet her:

Webservice:

GeoDanmark Vektor med Historik WFS

GeoDanmark Vektor WFS

GeoDanmark Vektor WMS

Filudtræk:

GeoDanmark Vektor Brugerdefineret Filudtræk

GeoDanmark Vektor Historik Kommuner Prædefineret GML

GeoDanmark Vektor Historik Prædefineret GML

GeoDanmark Vektor Historik Regioner Prædefineret GML

GeoDanmark Vektor Prædefineret GML

GeoDanmark Vektor Prædefineret SHAPE

GeoDanmark Vektor Prædefineret TAB

Hændelser:

GeoDanmark Vektor Hændelser

Diagram(mer):

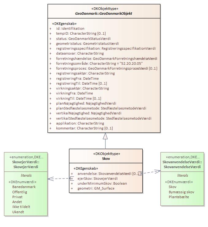
Objekttypediagram Skov:

Objekttypediagram Skov

Oversigt over karakteristika:


Attributter og associationsroller
Navn Type Multiplicitet
anvendelse SkovanvendelseVærdi 0..1
ejerSkov SkovejerVærdi 1
underMinimumSkov Boolean 1
geometri GM_Surface 1

Attribut:

tilbage til toppen

Navn:

anvendelse

URI:

https://data.gov.dk/model/profile/gdk/anvendelse

Foretrukken term:

anvendelse

Definition:

angivelse af skovens primære anvendelse

Juridisk kilde:

http://www.retsinformation.dk/eli/lta/2017/380

Kilde:

http://www.geodanmark.nu/Spec6/HTML5/DK/601/StartHer.htm

Multiplicitet:

0..1

Type:

SkovanvendelseVærdi (enumeration)

Max antal tegn:

15

Værdier:

Se listede værdier

Attribut:

tilbage til toppen

Navn:

ejerSkov

URI:

https://data.gov.dk/model/profile/gdk/ejerSkov

Foretrukken term:

ejerSkov

Definition:

angivelse af ejerkategorien for skoven

Juridisk kilde:

http://www.retsinformation.dk/eli/lta/2017/380

Kilde:

http://www.geodanmark.nu/Spec6/HTML5/DK/601/StartHer.htm

Multiplicitet:

1

Type:

SkovejerVærdi (enumeration)

Max antal tegn:

12

Værdier:

Se listede værdier

Attribut:

tilbage til toppen

Navn:

underMinimumSkov

URI:

https://data.gov.dk/model/profile/gdk/underMinimumSkov

Foretrukken term:

skov under minimum

Definition:

arealet er mindre end minimumsarealet, som er defineret i GeoDanmark-Specifikationen

Juridisk kilde:

http://www.retsinformation.dk/eli/lta/2017/380

Kilde:

http://www.geodanmark.nu/Spec6/HTML5/DK/601/StartHer.htm

Multiplicitet:

1

Type:

Boolean

Max antal tegn:

5

Attribut:

tilbage til toppen

Navn:

geometri

URI:

https://data.gov.dk/model/profile/gdk/geometri

Foretrukken term:

geometri

Definition:

objektets geografiske placering

Juridisk kilde:

http://www.retsinformation.dk/eli/lta/2017/380

Kilde:

http://www.geodanmark.nu/Spec6/HTML5/DK/601/StartHer.htm

Multiplicitet:

1

Type:

GM_Surface

Koordinatreferencesystem:

EPSG:25832

Indeholder Z-koordinater:

True