|
|
|
|
|
DHM linje er udstillet her:
|
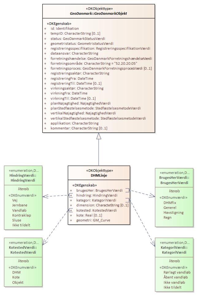
Diagram(mer):
Objekttypediagram DHMLinje:

|
|
Oversigt over karakteristika:
|
|
tilbage til toppen
|
Navn:
|
brugesHer
|
|
URI:
|
https://data.gov.dk/model/profile/gdk/brugesHer
|
|
Foretrukken term:
|
bruges her
|
|
Definition:
|
angivelse af hvilken type hydrologisk højdemodel dette objekt medvirker til at beregne
|
|
Juridisk kilde:
|
http://www.retsinformation.dk/eli/lta/2017/380
|
|
Kilde:
|
http://www.geodanmark.nu/Spec6/HTML5/DK/601/StartHer.htm
|
|
Multiplicitet:
|
1
|
|
Type:
|
BrugesHerVærdi (enumeration)
|
|
Max antal tegn:
|
11
|
|
Værdier:
|
Se listede værdier
| Værdinavn |
Foretrukken term |
Definition |
Kommentar |
Anvendelsesnote |
Juridisk kilde |
Kilde |
|
DHMfix
|
DHMfix
|
reparation er fejl i den specifikke DHM. Kun fejl af denne type og som har hydrologisk indflydelse på vandets frie forløb repareres
|
|
|
http://www.retsinformation.dk/eli/lta/2017/380
|
http://www.geodanmark.nu/Spec6/HTML5/DK/601/StartHer.htm
|
|
Generel
|
Generel
|
den normale tilpasning af hydrologiske forhold (f.eks. fjernelse af en bro) og som har effekt både ved Regn- og Havstignings-modellering
|
|
|
http://www.retsinformation.dk/eli/lta/2017/380
|
http://www.geodanmark.nu/Spec6/HTML5/DK/601/StartHer.htm
|
|
Havstigning
|
Havstigning
|
tilpasninger, der skal forhindre, at havvand løber ind over det bagvedliggende land. F.eks. lukning af en højvandssluse. Disse tilpasninger anvendes KUN ved Havstignings-modellering
|
|
|
http://www.retsinformation.dk/eli/lta/2017/380
|
http://www.geodanmark.nu/Spec6/HTML5/DK/601/StartHer.htm
|
|
Regn
|
Regn
|
tilpasninger, der skal tillade det naturlige og uhindrede forløb af overflade regnvands forløb ud mod havet. F.eks. åbning af en højvandssluse eller åbning af en kontraklap. Disse tilpasninger skal KUN anvendes ved Regn-modellering
|
|
|
http://www.retsinformation.dk/eli/lta/2017/380
|
http://www.geodanmark.nu/Spec6/HTML5/DK/601/StartHer.htm
|
|
|
|
tilbage til toppen
|
Navn:
|
hindring
|
|
URI:
|
https://data.gov.dk/model/profile/gdk/hindring
|
|
Foretrukken term:
|
hindring
|
|
Definition:
|
den forhindring som tilpasningen korrigerer
|
|
Juridisk kilde:
|
http://www.retsinformation.dk/eli/lta/2017/380
|
|
Kilde:
|
http://www.geodanmark.nu/Spec6/HTML5/DK/601/StartHer.htm
|
|
Multiplicitet:
|
1
|
|
Type:
|
HindringVærdi (enumeration)
|
|
Max antal tegn:
|
12
|
|
Værdier:
|
Se listede værdier
| Værdinavn |
Foretrukken term |
Definition |
Kommentar |
Anvendelsesnote |
Juridisk kilde |
Kilde |
|
Vej
|
Vej
|
forhindringen er en vej
|
|
|
http://www.retsinformation.dk/eli/lta/2017/380
|
http://www.geodanmark.nu/Spec6/HTML5/DK/601/StartHer.htm
|
|
Jernbane
|
Jernbane
|
forhindringen er en jernbane
|
|
|
http://www.retsinformation.dk/eli/lta/2017/380
|
http://www.geodanmark.nu/Spec6/HTML5/DK/601/StartHer.htm
|
|
Vandløb
|
Vandløb
|
forhindringen er et vandløb
|
|
|
http://www.retsinformation.dk/eli/lta/2017/380
|
http://www.geodanmark.nu/Spec6/HTML5/DK/601/StartHer.htm
|
|
Kontraklap
|
Kontraklap
|
forhindringen er en kontraklap
|
|
|
http://www.retsinformation.dk/eli/lta/2017/380
|
http://www.geodanmark.nu/Spec6/HTML5/DK/601/StartHer.htm
|
|
Sluse
|
Sluse
|
forhindringen er en sluse
|
|
|
http://www.retsinformation.dk/eli/lta/2017/380
|
http://www.geodanmark.nu/Spec6/HTML5/DK/601/StartHer.htm
|
|
Ikke tildelt
|
Ikke tildelt
|
ingen information om hindringens art
|
|
|
http://www.retsinformation.dk/eli/lta/2017/380
|
http://www.geodanmark.nu/Spec6/HTML5/DK/601/StartHer.htm
|
|
|
|
tilbage til toppen
|
Navn:
|
kategori
|
|
URI:
|
https://data.gov.dk/model/profile/gdk/kategori
|
|
Foretrukken term:
|
kategori
|
|
Definition:
|
kategori af underføring
|
|
Juridisk kilde:
|
http://www.retsinformation.dk/eli/lta/2017/380
|
|
Kilde:
|
http://www.geodanmark.nu/Spec6/HTML5/DK/601/StartHer.htm
|
|
Multiplicitet:
|
1
|
|
Type:
|
KategoriVærdi (enumeration)
|
|
Max antal tegn:
|
19
|
|
Værdier:
|
Se listede værdier
| Værdinavn |
Foretrukken term |
Definition |
Kommentar |
Anvendelsesnote |
Juridisk kilde |
Kilde |
|
Rørlagt vandløb
|
Rørlagt vandløb
|
underføringen er et rørlagt vandløb
|
|
|
http://www.retsinformation.dk/eli/lta/2017/380
|
http://www.geodanmark.nu/Spec6/HTML5/DK/601/StartHer.htm
|
|
Åbent vandløb
|
Åbent vandløb
|
underføringen er et åbent vandløb
|
|
|
http://www.retsinformation.dk/eli/lta/2017/380
|
http://www.geodanmark.nu/Spec6/HTML5/DK/601/StartHer.htm
|
|
Ikke vandløb
|
Ikke vandløb
|
underføringen er ikke et vandløb men en vej eller lignende
|
|
|
http://www.retsinformation.dk/eli/lta/2017/380
|
http://www.geodanmark.nu/Spec6/HTML5/DK/601/StartHer.htm
|
|
Ikke tildelt
|
Ikke tildelt
|
kategorien er ikke fastlagt
|
|
|
http://www.retsinformation.dk/eli/lta/2017/380
|
http://www.geodanmark.nu/Spec6/HTML5/DK/601/StartHer.htm
|
|
|
|
tilbage til toppen
|
|
tilbage til toppen
|
Navn:
|
kotested
|
|
URI:
|
https://data.gov.dk/model/profile/gdk/kotested
|
|
Foretrukken term:
|
kotested
|
|
Definition:
|
hvorfra skal koten til tilpasningen læses
|
|
Juridisk kilde:
|
http://www.retsinformation.dk/eli/lta/2017/380
|
|
Kilde:
|
http://www.geodanmark.nu/Spec6/HTML5/DK/601/StartHer.htm
|
|
Multiplicitet:
|
1
|
|
Type:
|
KotestedVærdi (enumeration)
|
|
Max antal tegn:
|
6
|
|
Værdier:
|
Se listede værdier
| Værdinavn |
Foretrukken term |
Definition |
Kommentar |
Anvendelsesnote |
Juridisk kilde |
Kilde |
|
DHM
|
DHM
|
koten interpoleres fra DHM'en
|
|
|
http://www.retsinformation.dk/eli/lta/2017/380
|
http://www.geodanmark.nu/Spec6/HTML5/DK/601/StartHer.htm
|
|
Kote
|
Kote
|
koten er ens i begge ender af tilpasningen og findes i attributten 'kote'
|
|
|
http://www.retsinformation.dk/eli/lta/2017/380
|
http://www.geodanmark.nu/Spec6/HTML5/DK/601/StartHer.htm
|
|
Objekt
|
Objekt
|
koten findes i hver af enderne på objektet
|
|
|
http://www.retsinformation.dk/eli/lta/2017/380
|
http://www.geodanmark.nu/Spec6/HTML5/DK/601/StartHer.htm
|
|
|
|
tilbage til toppen
|
|
tilbage til toppen
|